CONTENTS
Please
note, this "book" has been translated into English from its Russian
form. Any small grammatical flaws that occur are simply the result of this
translation.
2. THE THEORY BEHIND HUMATES
The term “humus” has been known to
science for over two hundred years. Humus
is a transformation product of the animal and vegetable organisms’ remains,
which are much more resistant to the further decomposition than the initial
biomass. Dozens of hypothesises
were offered to explain the process of humus formation. None of them gave an exact answer why the relentless process
of dead organic matter decomposition in the soil does not come to its completion
(which would be carbonic acid and water) but stops at a certain stage, when
comparatively simple decomposition products, such as phenols, carbohydrates, and
amino-acids transform into much more complex compounds - the humic acids.
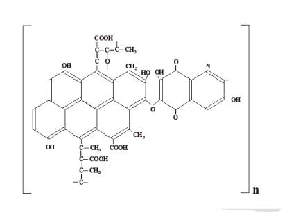
Fig. 1.
Diagram of the structure of the humic acid fragment.
![]() |
Humic
acid is a substance of very complex structure (its molecular mass is 1500),
which is practically insoluble in water, except for a very small part called
fulfonic acids.
These
fragments use hydrocarbon bonds to create molecule-forming chains, which in
their natural state are rolled into a ball.
These balls form large aggregates that constitute the organic part of the
soil - humus. Because of their low water solubility, biological activity of
the natural humic acids is very poor. Therefore,
in order to ensure fertility of the soil, its humus content should be rather
high; similar to the famous chernozem (black soils in the south of Russia).
However, the treatment of the humic acid by alkaline agents, as Lydia
Khristeva did, transforms it into water-soluble salts, sodium and potassium
humate.
ÎÍ
Î-
+
HUMIC
ACID
+ Na OH =
HUMATE
+ Na
+ H2O
ÑÎÎÍ
ÑÎÎ-
The above illustrates how, as a result of
this treatment, hydrogen atoms in carboxyl and hydroxyl groups are replaced by
alkali-metal ions. As a result of
the following dissociation, the humate molecule acquires a charge. These charges are located throughout the molecular chain.
The charge-charge repulsion takes place, and the ball unrolls, allowing
the humic acid molecules to pass into solution and to become biologically
active. Each functional group shown
on the fragment has its own function. There
are many of these groups, therefore the influence of the humates on all stages
of plants’ growth and development is versatile.
For example, carboxyl (ÑÎÎÍ) and phenol (OH) groups are able to form
chelate complexes with microelements and transport them into plants in this
form. They also provide a high
ion-exchange capacity of these compounds. Other
groups, which are called quinones (ÑÎ=Ñ
Í =ÎÑ), contain non-localized charges, which are able
to capture and accumulate solar energy. At
the right moment, when a vegetable cell needs it, electrons supply the energy to
the cell and increase the cell’s own energy.
These two particular examples illustrate only partially the humates’
influence. An important role is
played not only by the existence of functional groups but also by their mutual
location. Nature made sure they
were located in a way that allowed the humic acids and ions of metals to
interact in the most optimal direction for plant development.
Analyzing the results of research conducted by
different scientists, we were able to create a diagram of the humates’ effect
on a complex system water-plant-soil.
(See Fig. 2.)
We
determined 16 factors of the humates’ effect, and each of them, independently
from the others, leads to a certain result.
As a pianist touches the piano keyboard and creates a beautiful melody,
the humates influence the plants during their different growth stages, which
leads to wonderful results. It is
no coincidence that the leading Russian soil scientist, Professor Dmitry Orlov,
considers humic acids a connecting link in the evolution of animate and
inanimate matter.
Fig. 2. Diagram of interaction of the humates and the system water-plant-soil

Let’s look at the simple system humate-water. The
research carried out at Irkutsk University (D. A. Kalabin, D. F. Kushnaryov)
found the dependence in NMR spectral parameters of water, its structure, and
concentration of the humates dissolved in it.
When the concentration of the humate reaches 0.005-0.009% (this
particular concentration is recommended for watering plants), 17Î
signal increases from 52.7 Hertz to 103 Hertz, which indicates structurization
of water.
The course of the curves in Fig. 3
shows that the humates cause water to obtain the structure of melted water
(previously frozen), which is known to have a medicinal effect on animate
organisms and plants.
Fig. 3. The connection between
value of NMR signal and humate concentration
The
system humate-plant can be characterized
by two independent processes that are very important to plants’
growth and development. The first process is the increase in the cell’s energy and the
intensification of ion-exchange process as a result of it.
Nature made sure there were quinoid groups in a humic acid structure.
Electrons of the four conjugated p-bonds
are able to capture a quantum of solar energy accompanied by a transition to a
higher energy level. They
accumulate the energy and supply it to the cell when needed.
It intensifies the ion-exchange process.
As a result, the root system develops more rapidly, and special ferments
form to improve the plants’ resistance to unfavorable conditions, such as
drought and frost. These ferments
also assist the process of nitrogen assimilability that does not lead to the
formation of nitrates. At the same
time, the synthesis of chlorophyll, sugars, vitamins, essential amino-acids, and
oils accelerates.
The
second process is the increase in penetrability of the cell membrane. (T. L. Senn and A. R. Kingman, 1973.)
It facilitates the penetration of nutrients into the cell and accelerates
the respiration of the plants. It
is important to point out that this process is rather elective.
For example, the penetration of potassium ions increases a hundred times
while sodium penetration increases ten times, which favorably influences
plants’ nourishment.
A particularly large number of processes
can be observed in system humate-soil.
The humic acids are natural complex generators.
All essential microelements, being the variable-valence metals, form
chelate complexes with the humates. This
is a determinant for plants’ nourishment.
As for heavy metals, such as lead, mercury, chrome, cadmium, and others,
their penetration into fruit and further into the human and animal organisms
leads to serious illnesses. The
humates form insoluble compounds with heavy metals, which creates the barrier
for their penetration into the cell. With
the use of space photography, it was established that the regions with soil rich
in humates have higher ecological balance in spite of the intensive technogenic
pressure. Another important quality
of the humates is their ability to bond iron and aluminum ions into complexes,
since their excess amount in soil results in poor phosphorus nutrition of the
plants. Iron forms complexes with
the humates, which ensures its transportation to the plants, while aluminum creates insoluble compounds with the humates, which
neutralizes damaging effect
of aluminum on phosphates. Long-term
wide scale experiments have been conducted in Russia, which showed that humates neutralize
the negative effects of residual amounts of pesticides (atrazine was
used in tests). It ensures good
crop capacity and ecological purity of the product.
For the countries with cold and moderate climates it is very important
that the humates have the ability to change the color of soil to a darker color. Forming the
coloring, the
humates change thermal conditions. For
instance, cold clay soils become warmer. Colloidal
structure of the humic acid and the high level of hydrophilicity of terminal
functional groups give them the ability to gelatinize.
That is how many researchers explain the increase in soil water retention
after the humate treatment. This is
particularly important for drought-afflicted regions.
We have already mentioned the important role of interaction between the
humates and metals, which results in formulation of complexes and insoluble
salts. It was discovered that this
process is very important not only for nourishment of the plants but also for
soil structuring. The humate reacts
with potassium, magnesium, aluminum, and iron that are always present in soil,
and forms organomineral bridges that bond mechanical particles of the soil into
a life-sustaining structure for microorganisms.
This structure is capable of withstanding erosion, retaining water and
air, and creating favorable conditions for the existence of the microorganisms.
It is no coincidence that all researchers have noted the increase in the
activity of all types of soil microorganisms with the presence of the humates. Efficient functioning of microorganisms is the vital part of
humus formation. That is why the
humate treatment is the only effective measure to restore the fertility of soil
emaciated by intense exploitation, as well as soil that has not been originally
rich with humus.
Note that the humate molecules, which entered the soil structure as described earlier, contain a lot of functional groups capable of ion-exchange reactions. Therefore, the soil’s ion-exchange capacity dramatically increases in their presence. Humates in soil are a treasury where nutrients are stored and supplied to the plants when needed.
Concluding my remarks to the presented information, I’d like to point out that the acknowledged 16 factors are not the results of purely theoretical preconditions. Both laboratory analysis and wide scale field tests experimentally proved each of them. Naturally, in all cases there has been a general effect of direct increase in crop capacity, quality of the agricultural product, and the ecological purity.